- Get link
- Other Apps
With the release of the new film "The Imitation Game", I decided to read the biography this excellent film was based on - Alan Turing: The Enigma. In it, the author Andrew Hodges relates the story that the 15-year-old Alan Turing derived the Maclaurin series for the \(\arctan\) function, i.e. \[\arctan(x) = x - \frac{x^3}{3} + \frac{x^5}{5} - \frac{x^7}{7} + \ldots\] This is trivial using calculus, but it's explicitly stated that young Alan Turing neither knew nor used calculus. How would you derived such a series without calculus?
This is a tricky problem, and I'd suggest first tackling the much easier problem of deriving the Maclaurin series for \(\exp(x)\) from the relation \( \exp(2x) = \exp(x)\cdot \exp(x)\). This is an underconstrained relation, so you'll need to assume \(c_0 = 1, c_1 = 1\).
Getting back to \(\arctan\), you could start with the half-angle formula for the tangent: \[\tan(2x) = \frac{2\tan(x)}{1-{\tan}^2(x)}.\] Now use the Weierstrass-like substitution \(x = \arctan(t)\) to get \[\tan(2\arctan(t)) = \frac{2t}{1-t^2}.\] The right-hand side can be expanded in the usual geometric series fashion to get \[\tan(2\arctan(t)) = 2t\cdot (1+t^2+t^4+\ldots).\]
Finally, take the \(\arctan\) of both sides and assume we have the series expansion \(\arctan(x) = c_1 x + c_3 x^3 + c_5 x^5 + \ldots\). Note that we may ignore the terms with even powers of \(x\) as \(\arctan(x)\) is an odd function.
This gives us the setting \[2\arctan(t) = \arctan(2t\cdot (1+t^2+t^4+\ldots))\] and expanding as a power series \[2(c_1 t + c_3 t^3 + \ldots) = c_1 (2t\cdot (1+t^2+\ldots) + c_3 (2t\cdot (1+t^2+\ldots))^3 + \ldots\]
The next step is to line up powers of \(t\) on both sides and set up a system of simultaneous equations. There's some algebra and combinatorics involved, but we end up with the system of equations \[c_{2i+1} = \sum_{j=0}^{i} c_{2j+1}\cdot 2^{2j} \cdot {{i+j} \choose {2j}}.\] Note that this system is underconstrained due to our functional relationship being satisfied by any multiple of the \(\arctan\) function. We'll assume that \(c_1 = 1\), but note that this follows from the classical (non-calculus) limit \( \lim_{x\to 0} \frac{\sin(x)}{x} = 1\).
The first few relations are \begin{align*}
c_1 &= c_1 \\
c_3 &= c_1 + 4\cdot c_3 \\
c_5 &= c_1 + 12\cdot c_3 + 16\cdot c_5 \\
c_7 &= c_1 + 24\cdot c_3 + 80\cdot c_5 + 64\cdot c_7
\end{align*}
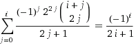
Assuming \(c_1 = 1\) as above we quickly calculate \( c_3 = -\frac{1}{3}, c_5 = \frac{1}{5}, c_7 = -\frac{1}{7}\), with the pattern being obvious.
That \(c_{2i+1} = \frac{(-1)^i}{2i+1}\) can be verified by Wolfram Alpha:
An obvious question is whether or not there's a simple demonstration of this; in particular, one that a young Alan Turing may have found. This I don't know (yet).
This is a tricky problem, and I'd suggest first tackling the much easier problem of deriving the Maclaurin series for \(\exp(x)\) from the relation \( \exp(2x) = \exp(x)\cdot \exp(x)\). This is an underconstrained relation, so you'll need to assume \(c_0 = 1, c_1 = 1\).
Getting back to \(\arctan\), you could start with the half-angle formula for the tangent: \[\tan(2x) = \frac{2\tan(x)}{1-{\tan}^2(x)}.\] Now use the Weierstrass-like substitution \(x = \arctan(t)\) to get \[\tan(2\arctan(t)) = \frac{2t}{1-t^2}.\] The right-hand side can be expanded in the usual geometric series fashion to get \[\tan(2\arctan(t)) = 2t\cdot (1+t^2+t^4+\ldots).\]
Finally, take the \(\arctan\) of both sides and assume we have the series expansion \(\arctan(x) = c_1 x + c_3 x^3 + c_5 x^5 + \ldots\). Note that we may ignore the terms with even powers of \(x\) as \(\arctan(x)\) is an odd function.
This gives us the setting \[2\arctan(t) = \arctan(2t\cdot (1+t^2+t^4+\ldots))\] and expanding as a power series \[2(c_1 t + c_3 t^3 + \ldots) = c_1 (2t\cdot (1+t^2+\ldots) + c_3 (2t\cdot (1+t^2+\ldots))^3 + \ldots\]
The next step is to line up powers of \(t\) on both sides and set up a system of simultaneous equations. There's some algebra and combinatorics involved, but we end up with the system of equations \[c_{2i+1} = \sum_{j=0}^{i} c_{2j+1}\cdot 2^{2j} \cdot {{i+j} \choose {2j}}.\] Note that this system is underconstrained due to our functional relationship being satisfied by any multiple of the \(\arctan\) function. We'll assume that \(c_1 = 1\), but note that this follows from the classical (non-calculus) limit \( \lim_{x\to 0} \frac{\sin(x)}{x} = 1\).
The first few relations are \begin{align*}
c_1 &= c_1 \\
c_3 &= c_1 + 4\cdot c_3 \\
c_5 &= c_1 + 12\cdot c_3 + 16\cdot c_5 \\
c_7 &= c_1 + 24\cdot c_3 + 80\cdot c_5 + 64\cdot c_7
\end{align*}
Assuming \(c_1 = 1\) as above we quickly calculate \( c_3 = -\frac{1}{3}, c_5 = \frac{1}{5}, c_7 = -\frac{1}{7}\), with the pattern being obvious.
That \(c_{2i+1} = \frac{(-1)^i}{2i+1}\) can be verified by Wolfram Alpha:
An obvious question is whether or not there's a simple demonstration of this; in particular, one that a young Alan Turing may have found. This I don't know (yet).

Did you mean to link to the book 'Alan Turing: The Enigma' by Andrew Hodges?
ReplyDeletehttp://www.amazon.com/Alan-Turing-Enigma-Inspired-Imitation-ebook/dp/B00M032W92/
Yes, thanks! Corrected.
Delete